CAT 2023Slot 3DILRQuestion & Solution
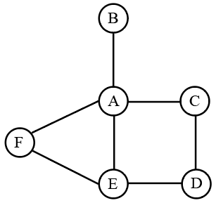
Data Set
Question 1
Which one among the following stations is visited the largest number of times?
Station C
Station E
Station D
Station F
Solution:
It is given that none of the streets has more than one team traveling along it in any direction at any point in time (point 1), which implies at 9.00 hrs, all 4 teams have chosen different roots from the starting point.
It is also known that Teams 2 and 3 are the only ones in stations E and D respectively at 10:00 hrs, and Team 1 and Team 4 are the only teams that patrol the street connecting stations A and E.
It is only possible when Team 2 traveled (A-E) via F, and Team 3 reached station D via station C.
It is also known that Teams 1 and 3 are the only ones in Station E at 10:30 hrs, and Team 4 never passes through Stations B, D, or F. Hence, Team 1 must have chosen the (A-B) root at the starting point, and Team 4 has chosen the (A-E) root at 9.00 hrs.
Hence, Team 1 will reach B at 9.30, and come to A at 10.00 hrs. After that, they will go to E at 10.30 hrs.
Since Team 4 never passes through stations B, D, or F. Team 4 only can pass through stations A, E, and C.
Hence, the roots of team 4 to reach station E at 11.30 will be (A-E-A-C-A-E) or (A-E-A-E-A-E).
Since team 1 is already traveling to E from A at 10.00 hrs, at that time team 4 can't choose the same route. Hence, the final route for team 4 to reach E at 11.30 is (A-E-A-C-A-E), and at 12.00 hrs, team 4 will come back to station A.
Hence, the complete route diagram for team 4 is (A-E-A-C-A-E-A)
We can see that team 1 is at station E at 10.30 hrs, and they will reach station B at 11.30 hrs, which is only possible when they travel to B via A.
Hence, the complete route diagram for team 1 is (A-B-A-E-A-B-A). It is also known that Teams 1 and 3 are the only ones in station E at 10:30 hrs.
The only possible root for Team 2 at 10.00 hrs is from E to F since they can't choose E to D because Team 3 is already on this route. Since team 3 has to reach A at 12.00. The only possible combination for team 3 is E-D-C-A
Now the roots for team 2 going back to A is from F at 10.30 hrs (F-A-F-A) or (F-E-F-A).
Hence, the final table is given below:
From the table, we can see that among the options station E is visited the largest number of times.
Question 2
How many times do the teams pass through Station B in a day?
Solution:
It is given that none of the streets has more than one team traveling along it in any direction at any point in time (point 1), which implies at 9.00 hrs, all 4 teams have chosen different roots from the starting point.
It is also known that Teams 2 and 3 are the only ones in stations E and D respectively at 10:00 hrs, and Team 1 and Team 4 are the only teams that patrol the street connecting stations A and E.
It is only possible when Team 2 traveled (A-E) via F, and Team 3 reached station D via station C.
It is also known that Teams 1 and 3 are the only ones in Station E at 10:30 hrs, and Team 4 never passes through Stations B, D, or F. Hence, Team 1 must have chosen the (A-B) root at the starting point, and Team 4 has chosen the (A-E) root at 9.00 hrs.
Hence, Team 1 will reach B at 9.30, and come to A at 10.00 hrs. After that, they will go to E at 10.30 hrs.
Since Team 4 never passes through stations B, D, or F. Team 4 only can pass through stations A, E, and C.
Hence, the roots of team 4 to reach station E at 11.30 will be (A-E-A-C-A-E) or (A-E-A-E-A-E).
Since team 1 is already traveling to E from A at 10.00 hrs, at that time team 4 can't choose the same route. Hence, the final route for team 4 to reach E at 11.30 is (A-E-A-C-A-E), and at 12.00 hrs, team 4 will come back to station A.
Hence, the complete route diagram for team 4 is (A-E-A-C-A-E-A)
We can see that team 1 is at station E at 10.30 hrs, and they will reach station B at 11.30 hrs, which is only possible when they travel to B via A.
Hence, the complete route diagram for team 1 is (A-B-A-E-A-B-A). It is also known that Teams 1 and 3 are the only ones in station E at 10:30 hrs.
The only possible root for Team 2 at 10.00 hrs is from E to F since they can't choose E to D because Team 3 is already on this route. Since team 3 has to reach A at 12.00. The only possible combination for team 3 is E-D-C-A
Now the roots for team 2 going back to A is from F at 10.30 hrs (F-A-F-A) or (F-E-F-A).
Hence, the final table is given below:
From the table, we can see that the teams have passed through B 2 times in this given period.
Question 3
Which team patrols the street connecting Stations D and E at 10:15 hrs?
Team 4
Team 1
Team 2
Team 3
Solution:
It is given that none of the streets has more than one team traveling along it in any direction at any point in time (point 1), which implies at 9.00 hrs, all 4 teams have chosen different roots from the starting point.
It is also known that Teams 2 and 3 are the only ones in stations E and D respectively at 10:00 hrs, and Team 1 and Team 4 are the only teams that patrol the street connecting stations A and E.
It is only possible when Team 2 traveled (A-E) via F, and Team 3 reached station D via station C.
It is also known that Teams 1 and 3 are the only ones in Station E at 10:30 hrs, and Team 4 never passes through Stations B, D, or F. Hence, Team 1 must have chosen the (A-B) root at the starting point, and Team 4 has chosen the (A-E) root at 9.00 hrs.
Hence, Team 1 will reach B at 9.30, and come to A at 10.00 hrs. After that, they will go to E at 10.30 hrs.
Since Team 4 never passes through stations B, D, or F. Team 4 only can pass through stations A, E, and C.
Hence, the roots of team 4 to reach station E at 11.30 will be (A-E-A-C-A-E) or (A-E-A-E-A-E).
Since team 1 is already traveling to E from A at 10.00 hrs, at that time team 4 can't choose the same route. Hence, the final route for team 4 to reach E at 11.30 is (A-E-A-C-A-E), and at 12.00 hrs, team 4 will come back to station A.
Hence, the complete route diagram for team 4 is (A-E-A-C-A-E-A)
We can see that team 1 is at station E at 10.30 hrs, and they will reach station B at 11.30 hrs, which is only possible when they travel to B via A.
Hence, the complete route diagram for team 1 is (A-B-A-E-A-B-A). It is also known that Teams 1 and 3 are the only ones in station E at 10:30 hrs.
The only possible root for Team 2 at 10.00 hrs is from E to F since they can't choose E to D because Team 3 is already on this route. Since team 3 has to reach A at 12.00. The only possible combination for team 3 is E-D-C-A
Now the roots for team 2 going back to A is from F at 10.30 hrs (F-A-F-A) or (F-E-F-A).
Hence, the final table is given below:
From the table, we can see that a 10.15 hrs, team 3 is travelling from station D to station E.
The correct option is D
Question 4
How many times does Team 4 pass through Station E in a day?
Solution:
It is given that none of the streets has more than one team traveling along it in any direction at any point in time (point 1), which implies at 9.00 hrs, all 4 teams have chosen different roots from the starting point.
It is also known that Teams 2 and 3 are the only ones in stations E and D respectively at 10:00 hrs, and Team 1 and Team 4 are the only teams that patrol the street connecting stations A and E.
It is only possible when Team 2 traveled (A-E) via F, and Team 3 reached station D via station C.
It is also known that Teams 1 and 3 are the only ones in Station E at 10:30 hrs, and Team 4 never passes through Stations B, D, or F. Hence, Team 1 must have chosen the (A-B) root at the starting point, and Team 4 has chosen the (A-E) root at 9.00 hrs.
Hence, Team 1 will reach B at 9.30, and come to A at 10.00 hrs. After that, they will go to E at 10.30 hrs.
Since Team 4 never passes through stations B, D, or F. Team 4 only can pass through stations A, E, and C.
Hence, the roots of team 4 to reach station E at 11.30 will be (A-E-A-C-A-E) or (A-E-A-E-A-E).
Since team 1 is already traveling to E from A at 10.00 hrs, at that time team 4 can't choose the same route. Hence, the final route for team 4 to reach E at 11.30 is (A-E-A-C-A-E), and at 12.00 hrs, team 4 will come back to station A.
Hence, the complete route diagram for team 4 is (A-E-A-C-A-E-A)
We can see that team 1 is at station E at 10.30 hrs, and they will reach station B at 11.30 hrs, which is only possible when they travel to B via A.
Hence, the complete route diagram for team 1 is (A-B-A-E-A-B-A). It is also known that Teams 1 and 3 are the only ones in station E at 10:30 hrs.
The only possible root for Team 2 at 10.00 hrs is from E to F since they can't choose E to D because Team 3 is already on this route. Since team 3 has to reach A at 12.00. The only possible combination for team 3 is E-D-C-A
Now the roots for team 2 going back to A is from F at 10.30 hrs (F-A-F-A) or (F-E-F-A).
Hence, the final table is given below:
From the table, we can see that team 4 passed station E 2 times in a day
Question 5
How many teams pass through Station C in a day?
4
3
1
2
Solution:
It is given that none of the streets has more than one team traveling along it in any direction at any point in time (point 1), which implies at 9.00 hrs, all 4 teams have chosen different roots from the starting point.
It is also known that Teams 2 and 3 are the only ones in stations E and D respectively at 10:00 hrs, and Team 1 and Team 4 are the only teams that patrol the street connecting stations A and E.
It is only possible when Team 2 traveled (A-E) via F, and Team 3 reached station D via station C.
It is also known that Teams 1 and 3 are the only ones in Station E at 10:30 hrs, and Team 4 never passes through Stations B, D, or F. Hence, Team 1 must have chosen the (A-B) root at the starting point, and Team 4 has chosen the (A-E) root at 9.00 hrs.
Hence, Team 1 will reach B at 9.30, and come to A at 10.00 hrs. After that, they will go to E at 10.30 hrs.
Since Team 4 never passes through stations B, D, or F. Team 4 only can pass through stations A, E, and C.
Hence, the roots of team 4 to reach station E at 11.30 will be (A-E-A-C-A-E) or (A-E-A-E-A-E).
Since team 1 is already traveling to E from A at 10.00 hrs, at that time team 4 can't choose the same route. Hence, the final route for team 4 to reach E at 11.30 is (A-E-A-C-A-E), and at 12.00 hrs, team 4 will come back to station A.
Hence, the complete route diagram for team 4 is (A-E-A-C-A-E-A)
We can see that team 1 is at station E at 10.30 hrs, and they will reach station B at 11.30 hrs, which is only possible when they travel to B via A.
Hence, the complete route diagram for team 1 is (A-B-A-E-A-B-A). It is also known that Teams 1 and 3 are the only ones in station E at 10:30 hrs.
The only possible root for Team 2 at 10.00 hrs is from E to F since they can't choose E to D because Team 3 is already on this route. Since team 3 has to reach A at 12.00. The only possible combination for team 3 is E-D-C-A
Now the roots for team 2 going back to A is from F at 10.30 hrs (F-A-F-A) or (F-E-F-A).
Hence, the final table is given below:
From the table, we can see that 2 teams (teams 3 and 4) have passed through station C on the given day.
The correct option is D

